Repeated arthroscopy of the ankle joint after distraction arthroplasty, a case series
- Authors: Lutsenko A.M.1,2, Prizov A.P.1,3, Ananin D.A.1,4, Karpenko A.V.2, Lazko F.L.1,3
-
Affiliations:
- Peoples’ Friendship University of Russia
- Zhukovsky Regional Clinical Hospital
- City Clinical Hospital named after V.M. Buyanov
- City Clinical Hospital named after A.K. Eramishantsev
- Issue: Vol 15, No 3 (2024)
- Pages: 60-67
- Section: Original Study Articles
- Submitted: 05.04.2024
- Accepted: 01.10.2024
- Published: 02.11.2024
- URL: https://clinpractice.ru/clinpractice/article/view/629997
- DOI: https://doi.org/10.17816/clinpract629997
- ID: 629997
Cite item
Abstract
BACKGROUND: Distraction arthroplasty of the ankle joint is the treatment method used for the cases of terminal osteoarthritis of the ankle joint that allows for delaying the arthrodesis or the total endoprosthesis replacement. The therapeutic effect is being achieved due to the separation of the articular surfaces (arthrodiastasis) with using the Ilizarov frame (or other devices for external fixation) for a period of 8–12 weeks. Only one research was described with the patients undergoing repeated arthroscopy of the ankle joint after the distraction arthroplasty in a combination with microfracturing of the cartilage defects, or repeated arthroscopy at the moment of removing the external fixation device (after 3 months).
АIM: To study the changes in the articular surfaces according to the Outerbridge before and after the distraction arthroplasty of the ankle joint using the repeated arthroscopy of the ankle joint.
METHODS: A total of 17 distraction arthroplasty surgical interventions of the ankle joint were performed (7 [41.2%] females and 10 [58.8%] males; the mean age of the patients was 48.5±13.57 years). Repeated arthroscopy of the ankle joint due to the recurrence of anterior impingement-syndrome after the distraction arthroplasty of the ankle joint within up to 12 months from the moment of removing the Ilizarov frame was carried out in 4 patients. For the evaluation of the treatment results, the Foot and Ankle Ability Measure (FAAM) scales were used, with an evaluation of pain, functions, deformity and the alignment of the foot and of the ankle joint (АОFAS Ankle-hindfoot scale), with subjective evaluation of pain (VAS); the status of the cartilage tissue in the ankle joint was evaluated using the modified Outerbridge scale.
RESULTS: In all the patients, a statistically significant improvement of the functional result was found in 12 months from the moment of surgery when using the FAAM (р=0.0006) and АОFAS Ankle-hindfoot scales, as well as after removing the Ilizarov frame in 1, 3 and 6 months. The pain intensity according to the VAS scale has decreased from 6.17±1.32 cm before surgery to 2 cm (1.4; 2.1) (p=0.00002) in 12 months. The arthroscopic findings upon the repeated interventions demonstrate the development of the massive arthrofibrosis with its further degradation to the end of 6 months, also showing the restoration of the cartilage defects from Outerbridge grade IV to grade II–III.
CONCLUSION: Upon the repeated arthroscopy, including the one performed at the end of 12 months after the distraction arthroplasty of the ankle joint, signs of regeneration were observed in the cartilage tissue defects with further defect coverage with a cartilage-like tissue, which, probably, determines the analgesic effect of the distraction arthroplasty of the ankle joint.
Keywords
Full Text
BACKGROUND
Distraction arthroplasty of the ankle joint is the treatment method used for the cases of terminal osteoarthritis of the ankle joint, the method that allows for delaying the arthrodesis procedure (complete immobilization of the joint by means of fusing the adjacently located bones) or the total endoprosthesis replacement. The therapeutic effect is being achieved due to the dissociation of the articular surfaces (arthrodiastasis) by means of using the Ilizarov frame (or other devices intended for external fixation) for the period of 8–12 weeks [1]. For the purpose of the effective use of the method, it is necessary to create the arthrodiastasis of 5–6 mm [2]. The mobile (articulating) and the fixated arrangements of the Ilizarov frame are used, with the proven benefit of the articulating arrangement. The method of distraction arthroplasty of the ankle joint allows for delaying the radical intervention (arthrodesis or endoprosthesis replacement) in 80% of the cases by up to 5 years after surgery [3].
The epidemiological data show the values of 9–15% of the ankle joint osteoarthritis cases in the general population, while among the causes of chronic inflammation, it has a share of about 70–78% [4].
The mechanism of distraction arthroplasty of the ankle joint is insufficiently studied. Several hypotheses exist that explain the efficiency of the method. When dissociating the joint, the cascade of events occurs: mechanical unloading of the joint, improvement of blood supply, creating an excessive negative pressure within the joint cavity, increase in the number of mesenchymal cells, activation of catabolism and anabolism, resorption of subchondral sclerosis and a decrease in the density of the bone tissue [5, 6].
The only research with studying the repeated arthroscopy of the ankle joint after the distraction arthroplasty is the research by Y. Ikuta et al. [7], in which the authors have studied a combination of the distraction arthroplasty of the ankle joint with microfracturing of the cartilage defects.
Research aim — an evaluation of the changes in the articular surfaces in accordance with the Outerbridge classification before and after the distraction arthroplasty of the ankle joint using repeated arthroscopy, as well as the evaluation of the efficiency of the distraction arthroplasty of the ankle joint.
METHODS
Research design
Prospective non-randomized open-label multicenter research.
The main method of the research was the analysis of the arthroscopy images of the articular cartilage in the ankle joint. Repeated arthroscopy after the distraction arthroplasty of the ankle joint was carried out in patients with the recurrence of the anterior impingement-syndrome (subacromial syndrome) within the period from the removal of the Ilizarov frame up to 12 months. The evaluation also included the clinical results of conducted treatment based on the evaluation systems (see “Methods for registration of outcomes”).
Conformity criteria
Inclusion criteria: stage III post-traumatic osteoarthritis of the ankle joint; patient’s age from 18 to 65 years old; absence of infectious process in the joint; preserved motion amplitude in the ankle joint — not less than 15 degrees.
Exclusion criteria: violations of the postoperative regimen; violation of control check-up schedule by more than 10 days.
Research facilities
The examination was carried out within the facilities of the State Budgetary Healthcare Institution “Municipal Clinical Hospital No. 13” under the Healthcare Department of the City of Moscow, within the facilities of the State Budgetary Healthcare Institution “V.M. Buyanov Municipal Clinical Hospital” under the Healthcare Department of the City of Moscow, and within the premises of the State Budgetary Healthcare Institution of the Moscow Oblast “Zhukovskiy Oblast Clinical Hospital” during the period from 2022 until 2023.
Medical procedure description
The diagnosis of the anterior impingement-syndrome was set based on the presence of pain syndrome in the anterior segment of the ankle joint upon the passive forced plantar flexion (plantar flexing of the foot) and dorsiflexion (dorsal flexing of the foot), also being confirmed by radiation diagnostics methods (magnetic resonance tomography or radiography).
All the patients were initially undergoing arthroscopy of the ankle joint with further installation of the Ilizarov frame using the articulating arrangement, consisting of a single ring and the U-shaped semi-circle for the foot. The joint movements were initiated during the first 24 hours after surgery: the patients were using dosed walking with crutches. In general, the arthrodiastasis was reaching up to 5.5 mm and lasted for up to 8 weeks.
Methods for registration of outcomes
For the evaluation of the treatment results, the Visual Analogue Scale for pain (VAS) was used along with the FAAM (Foot and Ankle Ability Measure) scale, as well as the clinical scale for the evaluation of pain, functions, deformity and foot/ankle alignment from the AOFAS (American Orthopaedic Foot and Ankle Society Ankle-Hindfoot Scale) before treatment and after de-installing the Ilizarov frame in 1, 3, 6 and 12 months. The evaluation of the cartilage defects on the arthroscopy images was carried out using the modified Outerbridge classification.
Ethical review
The conduction of the research was approved by the local Ethics Committee of the Medical Institute of the Federal State Autonomous Educational Institution for Higher Education “Patrice Lumumba Peoples’ Friendship University of Russia”, protocol No. 10, dd. September 22, 2022.
All the patients have signed the voluntary informed consent form.
Statistical analysis
The statistical processing of data was carried out using the SciPy 1.12.0 and NumRu 1.24.2 statistical libraries for Python 3.9.10 (Python Software Foundation, Delware, USA). For each of the continuous variables, the mean (M) and the standard deviation (SD) were provided, or the median (Ме) with the upper (25%) and the lower quartiles (75%) depending on the type of distribution. The hypothesis on the normal distribution was verified using the Shapiro-Wilk test. The significance of differences was tested using the Student t-test for dependent samples with normal distribution, for the non-normal distribution — using the non-parametric Wilcoxon T-test and the calculation of the significance level (p). The differences were considered statistically significant if the р value was <0.05.
RESULTS
Research sample (participants)
A total of 17 distraction arthroplasty of the ankle joint surgical interventions in combination with the arthroscopy of the anterior segment of the ankle joint were carried out in the patients with post-traumatic stage III osteoarthritis of the ankle joint. The mean age of the patients was 48.5±13.6 y.o.a., with the number of women being 7 (41.2%) and men — 10 (58.8%).
The control radiography was performed after de-installing the Ilizarov frame in 6 and 12 months. In 10 patients, the findings included the anterior impingement-syndrome due to the presence of osteophytes, 4 patients had an impaired lateral ligamentous complex, 2 were diagnosed with damaged medial ligamentous complex, with 1 patient having a local bone-cartilage defect of the of the talus bone. Repeated arthroscopy of the ankle joint was carried out for 4 patients with the anterior impingement-syndrome: 1 — at the moment of de-installing the Ilizarov frame, 1 — in 6 months, 2 — in 12 months. The characteristics of the patients with repeated arthroscopy of the ankle joint are provided in table 1. The indication for conducting the repeated arthroscopy of the ankle joint was the recurrence of the symptoms of the anterior impingement-syndrome.
Table 1
Characteristics of patients with second-look arthroscopy
Patient | Gender | Age, years | Body mass index, kg/m2 | Osteoarthritis type | Time, months |
1 | M | 65 | 27.4 | Symmetrical | 0 |
2 | M. | 57 | 35.5 | Talus bone collapse | 12 |
3 | F. | 44 | 30.9 | Symmetrical | 6 |
4 | M. | 44 | 26.5 | Asymmetrical | 12 |
Main research outcomes
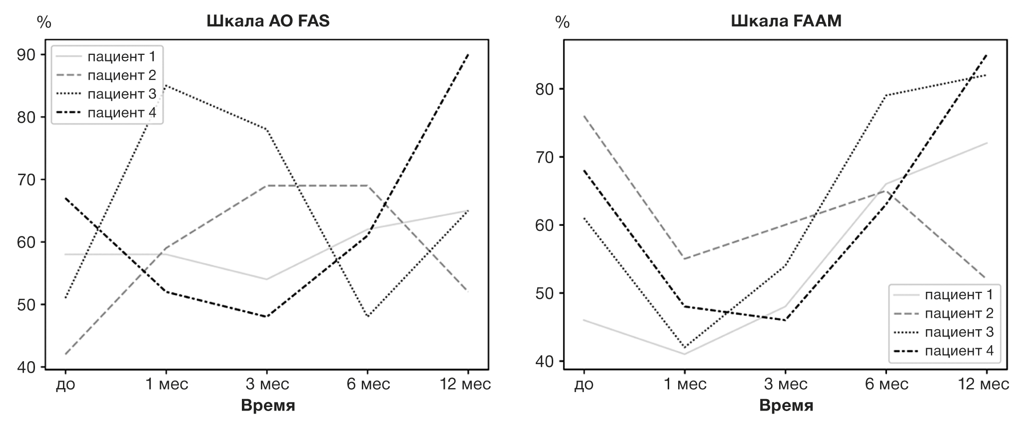
In all the patients, there was a statistically significant change in the functional results to Month 12 from the moment of surgery according to the FAAM and AOFAS scales, except for patient No. 2, in which the functional decrease was found when applying these scales after 12 months (Fig. 1).
Fig. 1. Functional outcomes of patient measuring scales after ankle distraction arthroplasty.
The pain syndrome had statistically significantly decreased in all the patients to the end of 12 months when using the VAS scale (p=0.00002), with the mean values from 6.17±1.32 cm before surgery to 2 cm (1.4; 2.1) in 12 months (Fig. 2).
Fig. 2. Visual Analogue Scale outcomes after ankle distraction arthroplasty.
Patient No. 1 before the distraction arthroplasty of the ankle joint had a total absence of cartilage tissue (grade IV according to the Outerbridge scale) (Fig. 3). At the moment of de-installing the Ilizarov frame, repeated arthroscopy was carried out, revealing the presence of abundantly vascularized soft connective tissue, which was completely filling the ankle joint cavity. The arthroscopic signs of arthrofibrosis are provided in Fig. 4.
Fig. 3. Total absence of cartilage tissue of the talus of patient No. 1 before ankle distraction arthroplasty.
Fig. 4. Arthroscopic image of total arthrofibrosis of patient No. 1 at the time of removing the Ilizarov frame.
Patient No. 2 had a significant collapse of the talus bone with incorrectly consolidated subtalar arthrodesis and a varus deformity of the lower limb axis, which are prognostically unfavorable in the treatment when using the distraction arthroplasty of the ankle joint. Before surgical treatment, there were visible grade IV foci of cartilage defects (Outerbridge) (Fig. 5). In 12 months after the distraction arthroplasty of the ankle joint, due to the recurrence of the anterior impingement-syndrome and repeated formation of osteophytes in the anterior segment, repeated arthroscopy was done. The visualized findings included the coverage of the defect areas with the cartilage-like tissue, showing the grade II–III of the Outerbridge classification (Fig. 6). Similar findings were observed in patients No. 3 and No. 4.
Fig. 5. Patient’s No. 2 talus before ankle distraction arthroplasty with areas of grade IV cartilage defects by Outerbridge.
Рис. 6. Patient’s No. 2 talus 12 months after ankle distraction arthroplasty with signs of regeneration of cartilage tissue.
Patient No. 3 previously had signs of arthrofibrosis, which were not detected in 6 months from the moment of the distraction arthroplasty of the ankle joint. The articular fissure is not filled with the connective tissue, which allows for judging on its complete degradation to the end of 6 months of follow-up.
Undesirable phenomena
The undesirable phenomena included the inflammation in the area of the wires passing through the calcaneal bone, developing in 6 weeks after the installation of the Ilizarov frame (in 2 patients). After the conservative treatment, positive effect was reported.
DISCUSSION
The research works on the distraction arthroplasty of the ankle joint are few, and when searching the literature, we did not find any original research works on the fundamental principles and scientific justification of the efficiency of arthrodiastasis. No research works were published previously on the repeated arthroscopy of the ankle joint after the distraction arthroplasty of the ankle joint with the middle-term follow-up. There is a research of the effects of the distraction arthroplasty of the ankle joint in the cartilage tissue: based on the results of magnetic resonance tomography, during the postoperative period, an enlargement was observed in the cartilage, reaching up to 0.5 mm comparing to data from the examination before surgery [8].
As of today, 8 studies were published on the effects of arthrodiastasis on the structure of the cartilage tissue in the animals, which show an increase of the metabolic activity and restoration of II type collagen in the cartilage matrix, as well as an increase in the number of reparative signaling molecules, corresponding to the ones found in humans [9–16].
The research by F. Inori et al. [14] proves the capabilities of distraction arthrogenesis. The distraction of the fragment of the condyle of the femoral bone after osteotomy was performed during the experiments in rabbits (the fragment includes the cartilage and the subchondrаl bone). Histological results indicate the possibility of forming the new cartilage and subchondral bone when using the distraction. This serves as an evidence of the possible growth of cartilage tissue in vivo.
Research limitations
The research limitation is the absence of histological analysis of the developed regenerate, which could confirm our opinion on the restoration of the cartilage tissue. Taking into consideration the small total area of the cartilage in the talus bone, as well as the initially present terminal degree osteoarthritis, for the purpose of preserving the maximal area of the cartilage, the decision made was to refuse from performing histological evaluation for the well-being of the patient. The understanding of the mechanism of action of the distraction arthroplasty of the ankle joint is a complex issue open for discussion. For the purpose of defining the clinical efficiency and studying the mechanism of action of the distraction arthroplasty of the ankle joint, further research works are required with more prolonged follow-up period.
CONCLUSION
Based on the data obtained during the repeated arthroscopy, during the arthrodiastasis, the articular fissure is being filled with fibrous vascularised tissue, which gradually degrades and which is completely absent in 6 months. There were signs of regeneration in the cartilage defects with further covering with the cartilage-like connective tissue, due to which, probably, an analgesic effect develops after the distraction arthroplasty of the ankle joint.
The research results confirm the efficiency of the distraction arthroplasty of the ankle joint.
ADDITIONAL INFORMATION
Funding source. This study was not supported by any external sources of funding.
Competing interests. The authors declare that they have no competing interests.
Authors’ contribution. A.M. Lutsenko — manuscript writing, treating patients; A.P. Prizov — treating patients, manuscript writing, editing; D.A. Ananin — search and analytical work, manuscript writing, editing; A.V. Karpenko — treating patients, search and analytical work; F.L. Lazko — design of the work, discussion, manuscript editing. The authors made a substantial contribution to the conception of the work, acquisition, analysis, interpretation of data for the work, drafting and revising the work, final approval of the version to be published and agree to be accountable for all aspects of the work.
About the authors
Artyom M. Lutsenko
Peoples’ Friendship University of Russia; Zhukovsky Regional Clinical Hospital
Author for correspondence.
Email: lutsenkoam@gmail.com
ORCID iD: 0000-0002-8450-565X
SPIN-code: 6680-2398
Russian Federation, Moscow; Zhukovsky
Aleksey P. Prizov
Peoples’ Friendship University of Russia; City Clinical Hospital named after V.M. Buyanov
Email: aprizov@yandex.ru
ORCID iD: 0000-0003-3092-9753
SPIN-code: 6979-6480
MD, PhD, Assistant Professor
Russian Federation, Moscow; MoscowDanila A. Ananin
Peoples’ Friendship University of Russia; City Clinical Hospital named after A.K. Eramishantsev
Email: ananuins@list.ru
ORCID iD: 0000-0003-0032-4710
SPIN-code: 1446-8368
MD, PhD, Assistant Professor
Russian Federation, Moscow; MoscowAlik V. Karpenko
Zhukovsky Regional Clinical Hospital
Email: alikkarpenko@bk.ru
ORCID iD: 0000-0002-9104-6922
MD, PhD
Russian Federation, ZhukovskyFedor L. Lazko
Peoples’ Friendship University of Russia; City Clinical Hospital named after V.M. Buyanov
Email: fedor_lazko@mail.ru
ORCID iD: 0000-0001-5292-7930
SPIN-code: 8504-7290
MD, PhD, Professor
Russian Federation, Moscow; MoscowReferences
- Bernstein M, Reidler J, Fragomen A, Rozbruch SR. Ankle distraction arthroplasty: indications, technique, and outcomes. J Am Acad Orthop Surg. 2017;25(2):89–99. doi: 10.5435/JAAOS-D-14-00077
- Fragomen AT, McCoy TH, Meyers KN, Rozbruchhomas SR. Minimum distraction gap: How much ankle joint space is enough in ankle distraction arthroplasty? HSS J. 2014;10(1):6–12. doi: 10.1007/s11420-013-9359-3
- Greenfield S, Matta KM, McCoy TH, et al. Ankle distraction arthroplasty for ankle osteoarthritis: A survival analysis. Strategies Trauma Limb Reconstr. 2019;14(2):65–71. doi: 10.5005/jp-journals-10080-1429
- Murray C, Marshall M, Rathod T, et al. Population prevalence and distribution of ankle pain and symptomatic radiographic ankle osteoarthritis in community dwelling older adults: A systematic review and cross-sectional study. PLoS One. 2018;13(4):e0193662. EDN: YHYCPJ doi: 10.1371/journal.pone.0193662
- Intema F, Thomas TP, Anderson DD, et al. Subchondral bone remodeling is related to clinical improvement after joint distraction in the treatment of ankle osteoarthritis. Osteoarthritis Cartilage. 2011;19(6):668–675. EDN: OEMGCV doi: 10.1016/j.joca.2011.02.005
- Li K, Wang P, Nie C, et al. The effect of joint distraction osteogenesis combined with platelet-rich plasma injections on traumatic ankle arthritis. Am J Transl Res. 2021;13(7):8344–8350.
- Ikuta Y, Nakasa T, Tsuyuguchi Y, et al. Clinical outcomes of distraction arthroplasty with arthroscopic microfracture for advanced stage ankle osteoarthritis. Foot Ankle Orthopaedics. 2019;4(4):2473011419S0022. doi: 10.1177/2473011419S00228
- Lamm BM, Gourdine-Shaw M. MRI evaluation of ankle distraction: A preliminary report. Clin Podiatric Med Surg. 2009;26(2): 185–191. EDN: XXWDYY doi: 10.1016/j.cpm.2008.12.007
- Chen Y, Sun Y, Pan X, et al. Joint distraction attenuates osteoarthritis by reducing secondary inflammation, cartilage degeneration and subchondral bone aberrant change. Osteoarthritis Cartilage. 2015;23(10):1728–1735. doi: 10.1016/j.joca.2015.05.018
- Flouzat-Lachaniette C, Roubineau F, Heyberger C. Distraction to treat knee osteoarthritis. Joint Bone Spine. 2017;84(2):141–144. doi: 10.1016/j.jbspin.2016.03.004
- Harada Y, Nakasa T, Mahmoud EE, et al. Combination therapy with intra‐articular injection of mesenchymal stem cells and articulated joint distraction for repair of a chronic osteochondral defect in the rabbit. J Orthop Res. 2015;33(10):1466–1473. doi: 10.1002/jor.22922
- Hung SC, Nakamura K, Shiro R, et al. Effects of continuous distraction on cartilage in a moving joint: An investigation on adult rabbits. J Orthop Res. 1997;15(3):381–390. doi: 10.1002/jor.1100150310
- Wiegant K, Intema F, van Roermund PM, et al. Evidence of cartilage repair by joint distraction in a canine model of osteoarthritis. Arthritis Rheumatol. 2015;67(2):465–474. doi: 10.1002/art.38906
- Inori F, Ohashi H, Minoda Y, et al. Possibility of “distraction arthrogenesis”: First report in rabbit model. J Orthop Sci. 2001;6(6):585–590. doi: 10.1007/s007760100016
- Teunissen M, Bedate MA, Coeleveld K, et al. Enhanced extracellular matrix breakdown characterizes the early distraction phase of canine knee joint distraction. Cartilage. 2021; 13(2, Suppl):1654S–1664S. doi: 10.1177/19476035211014595
- Stupina TA, Shchudlo MM, Shchudlo NA, Stepanov MA. Histomorphometric analysis of knee synovial membrane in dogs undergoing leg lengthening by classic Ilizarov method and rapid automatic distraction. Int Orthop. 2013;37(10):2045–2050. EDN: UEOLEL doi: 10.1007/s00264-013-1919-0
Supplementary files









