Development of a microfluidic biosensor for the diagnostics and typing of Mycobacterium Tuberculosis
- Authors: Mitko T.V.1, Shakurov R.I.1, Shirshikov F.V.1, Svetlana S.V.1, Alieva E.V.2, Konopsky V.N.2, Basmanov D.V.1, Bespyatykh J.A.1
-
Affiliations:
- Federal Research and Clinical Center of Physical-Chemical Medicine
- Institute of Spectroscopy of the Russian Academy of Sciences
- Issue: Vol 12, No 2 (2021)
- Pages: 14-20
- Section: Original Study Articles
- Submitted: 20.06.2021
- Accepted: 23.06.2021
- Published: 23.07.2021
- URL: https://clinpractice.ru/clinpractice/article/view/71815
- DOI: https://doi.org/10.17816/clinpract71815
- ID: 71815
Cite item
Abstract
Background. Despite on the general trend towards decreasing the incidence of newly diagnosed active forms of tuberculosis, the situation with spreading of this disease in Russian Federation remains extremely tense. At the same time, the diagnosis is carried out according to the standard scheme, which takes about a month; another month takes test formulation for drug sensitivity. Thus, the development of new methods for diagnostics and typing of mycobacteria, as well as practice implementation of these developments is an urgent direction. Modern developments in the field of microfluidic technologies open up great opportunities in this direction. Aim. Development of a method for identification and typing of Mycobacterium tuberculosis using a label-free biosensor on surface waves in a one-dimensional photonic crystal (PC SM biosensor). Methods. Oligonucleotide probes were selected and synthesized as DNA targets for M. tuberculosis typing. The photonic crystal surface was modified with aqueous solutions of (3-aminopropyl)triethoxysilane, Leuconostoc mesenteroides dextrans and bovine serum albumin. Experiments were carried out using a PC SM biosensor. Results. Sequences of detecting oligonucleotide probes were selected for spoligotyping of M. tuberculosis on the PC SM biosensor. Modification of their 3'-ends was carried out in order to create extended single-stranded regions that are not subject to the formation of secondary structures and facilitate hybridization with a single-stranded DNA target. Several series of experimental modifications of the PC surface were carried out by using L. mesenteroides dextrans with different functional groups (including detection of the modification results real time) with simultaneous registration of the increment layer size and volume refractive index of the mixture, which excludes the use of a reference cell. Other experiments were carried out to detect the specific binding of biotinylated oligonucleotide probes to the modified PC surface. Conclusions. A technique for the design of probes was developed and a model system of oligonucleotides for the detection of single-stranded DNA using a PC biosensor was proposed. The developed technique of modification of the PC surface with dextrans from L. mesenteroides, which allows to increase the sensitivity of detection of oligonucleotides using the PC SM biosensor. This approach will further expand the panel of diagnostic probes, including identification of resistance markers.
Full Text
Список сокращений
ПВФК-биосенсор (PCSW-biosensor, Photonic Crystal Surface Waves Biosensor) — комплексный прибор для детекции процессов сорбции/десорбции биомолекул на специфической чувствительной поверхности
ОФК (1D PC, One-Dimensional Photonic Crystal) — одномерный фотонный кристалл: специальная синтетическая поверхность, представляющая собой многослойную диэлектрическую спектрально-селективную структуру
ОБОСНОВАНИЕ
Согласно последним данным Всемирной организации здравоохранения, в Российской Федерации заболеваемость туберкулезом продолжает оставаться на высоком уровне, несмотря на наметившуюся тенденцию к стабилизации. В 2019 г. зарегистрировано более 60 тыс. новых случаев заболевания и 7536 летальных исходов [1, 2]. Особую и весьма значительную роль в обострении ситуации с туберкулезом играет появление и все большее распространение штаммов микобактерий, устойчивых к лекарственным препаратам. По некоторым данным, в мире около 4% случаев туберкулеза вызваны штаммами с множественной лекарственной устойчивостью (МЛУ), а среди ранее леченных больных частота выявления МЛУ-штам-мов достигает 40%. В то же время на территории Российской Федерации показатели носят еще более негативный характер. Так, число МЛУ-штаммов среди впервые выявленных случаев достигает 30%, в то время как среди леченых больных превышает в иных регионах 60% [2, 3]. Таким образом, в недалеком будущем современная медицина, лишенная эффективных противотуберкулезных препаратов, может оказаться бессильна перед возрастающей угрозой повсеместного распространения устойчивых штаммов Mycobacterium tuberculosis.
Очевидно, что в сложившейся ситуации весьма актуальны исследования, направленные на решение проблемы быстрой диагностики заболевания, своевременного выявления устойчивых к противотуберкулезным препаратам форм, а также адекватные противоэпидемические мероприятия, ориентированные на предупреждение распространения штаммов микобактерий (в том числе и устойчивых) в человеческой популяции. Большие перспективы и возможности в этом направлении открывают современные достижения молекулярной биологии и биофизики. В частности, принципиально новыми являются разработки в области микрофлюидных технологий и оптических безмаркерных биосенсоров. Использование микрофлюидного безмар-керного биосенсора на поверхностных оптических волнах в одномерном фотонном кристалле (ПВ-ФК-биосенсора) позволяет значительно упростить молекулярную идентификацию патогенов при лабораторной диагностике инфекций, в том числе туберкулеза. ПВФК-биосенсор позволяет анализировать широкий диапазон взаимодействий: от образования различных белок-белковых комплексов до взаимодействия олигонуклеотидов различной последовательности. Основным преимуществом технологии является прохождение реакций в изолированной зоне минимального объема, что исключает контаминацию, сокращает время анализа, делает удобным процедуру анализа для оператора. Регистрация таких взаимодействий проводится в реальном времени и не требует предварительного мечения целевых биомолекул [4]. В 2020 г. показан мультиплексный потенциал ПВФК-биосенсора с двумерным пространственным разрешением [5]. Таким образом, очевидна актуальность использования данной технологии при работе с возбудителем туберкулеза.
Цель исследования — разработка метода идентификации и типирования M. tuberculosis с помощью микрофлюидного ПВФК-биосенсора.
МЕТОДЫ
Зонды
Коллекцию полногеномных последовательностей для 5721 образца M. tuberculosis использовали для подбора зондов, обеспечивающих семейство-специфическое типирование возбудителя туберкулеза. Для сполиготипирования определены специфические спейсерные последовательности DR-региона (direct repeat) в геноме M. tuberculosis штамма H37Rv (NCBI Reference Sequence: NC_000962.3). Основываясь на опубликованных ранее данных [6], определены последовательности зондов, обеспечивающих первичное типирование M. tuberculosis по 43 спейсерам DR-региона. В представленной работе на 3'-ко-нец ДНК-зондов добавлены несколько нуклеотидов, позволяющих увеличить сайт гибридизации с одноцепочечной ДНК спейсера до 20 пар оснований. Терминальный 3'-концевой нуклеотид зонда модифицирован биотином для иммобилизации на стрептавидине. Нуклеотидная последовательность полученного ДНК-зонда для детекции 43-го спейсера: 5'-GGAGGTGCAGCA-acgtatac-3'-Biotin. Контроль вторичной структуры одноцепочечного ДНК-зонда и его потенциальной мишени проводился с помощью программы mFold [7].
Биосенсор
Регистрацию процесса взаимодействий биомолекул на поверхности проводили в реальном времени с помощью микрофлюидного безмаркерного ПВФК-биосенсора «EVA 2.0» (Россия) [4, 8]. Чувствительной поверхностью биосенсора является завершающий слой оксида кремния одномерного фотонного кристалла (ОФК). Для модификации поверхности фотонного кристалла использовали водные растворы (3-аминопропил)триэтоксисила-на ([3-(Aminopropyl)triethoxysilane], APTES), декстранов Leuconostoc mesenteroides, бычьего сывороточного альбумина, полиаллиламина, глутарового альдегида, эпихлоргидрина и стрептавидина в натрий-фосфатном буфере (phosphate-buffered saline, PBS).
РЕЗУЛЬТАТЫ
Разработан дизайн олигонуклеотидных зондов для детекции возбудителя туберкулеза, подобрана их оптимальная длина для гибридизации с ДНК-мишенью. Для повышения чувствительности детекции в экспериментах с олигонуклеотид-ными ДНК-мишенями изначально требовалось увеличить сорбционную емкость поверхности фотонного кристалла, что достигалось созданием на его поверхности разветвленной структуры полисахаридов. В настоящей работе использовали декстран с Mw 500 кДа, предварительно химически модифицированный для введения в полимерную цепь доступных функциональных групп для связывания с силанизированной поверхностью ОФК.
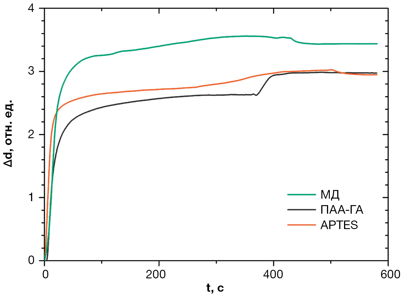
Кинетику взаимодействия модельного белка бычьего сывороточного альбумина с модифицированной поверхностью регистрировали на ПВФК-био-сенсоре; для сравнения приведены сорбционные кривые для модифицированной двумя способами поверхности ОФК: силанизация APTES и модификация полиаллиламином и глутаровым альдегидом [9] (рис. 1). По сравнению с поверхностью ОФК, модифицированной APTES, сорбционная емкость поверхности с полисахаридом возросла на 20%, что можно объяснить появлением трехмерной разветвленной структуры цепей декстрана.
Рис. 1. Изменение толщины сорбционного слоя (Ad) при связывании бычьего сывороточного альбумина с модифицированной поверхностью одномерного фотонного кристалла.
Fig. 1. The change in the adsorbed layer thickness (Ad) upon bovine serum albumin binding to the modified PC surface.
Примечание. МД — модифицированный декстран; ПАА — полиаллиламин; ГА — глутаровый альдегид; APTES — (3-аминопропил)триэтоксисилан.
Note. МД — modified dextran; ПАА — polyallylamine; ГА — glutaraldehyde; APTES — 3-(Aminopropyl)triethoxysilane.
Были подобраны оптимальные условия модификации поверхности ОФК декстраном, позволяющие достичь большей сорбционной емкости поверхности ОФК для последующей сорбции низкомолекулярных лигандов. На микрофлюидном безмаркер-ном биосенсоре на ПВФК получены сорбционные кривые детекции олигонуклеотидных ДНК-мишеней, моделирующих уникальные участки генома M. tuberculosis. Чувствительность методики определяется соотношением сигнал-шум при регистрации процесса связывания олигонуклеотидов на поверхность ОФК биосенсора. Полученные нами результаты демонстрируют чувствительность на уровне 0,7 пг/мм2.
Для ковалентного связывания биотинилированных олигонуклеотидных ДНК-зондов в реальном времени на поверхности ОФК и последующей регистрации специфического взаимодействия зондов на активированную поверхность ОФК предварительно иммобилизовали стрептавидин. Неспецифические сайты связывания на поверхности ОФК блокировали 0,1 мг/мл раствора бычьего сывороточного альбумина (рис. 2).
Рис. 2. Регистрация последовательной сорбции стрептавидина и биотинированного ДНК-зонда 5'-GGAGGTGCAGCA-acgtatac-3'-Biotin на модифицированную поверхность фотонного кристалла.
Fig. 2. Registration of the sequential adsorption of streptavidin and a biotinylated DNA probe, 5'-GGAGGTGCAGCA-acgtatac-3'-Biotin, on the modified PC surface.
Примечание. PBS (phosphate-buffered saline) — натрий-фосфатный буфер; БСА — бычий сывороточный альбумин.
Note. PBS — phosphate-buffered saline; БСА — bovine serum albumin.
ОБСУЖДЕНИЕ
На сегодняшний день проблема быстрой и ранней диагностики туберкулеза актуальна во всем мире. Активно ведутся работы по выявлению белков микобактерий в крови человека [10]. Однако системный подход к изучению особенностей физиологии микобактерий показал ограниченность таких методов [11]. Нуклеотидные последовательности зондов, отобранные в данном исследовании, соответствуют спейсерам, расположенным между прямыми повторами (DR-регионами) генома M. tuberculosis, и обеспечивают достоверное типи-рование патогена по принадлежности к семейству [6]. Ранее было показано, что метод мультиплексного биосенсинга на поверхностных волнах ОФК с двумерным пространственным разрешением в реальном времени может быть использован для регистрации процессов связывания антиген-антитело с достаточной чувствительностью [12], в связи с чем в данной работе метод был адаптирован для типирования возбудителя туберкулеза. Предложенный в данной работе способ модификации фотонного кристалла обеспечивает большую адсорбционную емкость поверхности, чем известные из литературных данных [9], и позволяет решить проблему чувствительности, связанную с малым количеством бактерий в биологическом материале. Кроме того, потенциальным решением данной проблемы может стать проведение определенного оптимального количества циклов полимеразной цепной реакции перед детекцией на ПВФК-биосенсоре.
Таким образом, на основании проведенного исследования можно сделать вывод о большом потенциале диагностической системы, основанной на ПВФК-биосенсоре, для экспрессной диагностики и типирования возбудителя туберкулеза.
ЗАКЛЮЧЕНИЕ
В ходе работы выполнен анализ модификации поверхности фотонного кристалла на основе взаимодействия активированной поверхности с функционализированным декстраном L. mesenteroides. Разработан метод дизайна зондов и предложена модельная система из олигонуклеотидов для детекции одноцепочечной ДНК возбудителя туберкулеза с помощью микро-флюидного ПВФК-биосенсора. Данный метод модификации и активации рабочей поверхности фотонного кристалла позволяет связывать олигонуклеотиды различной последовательности для дальнейшего применения ПВФК-биосенсора в диагностике.
Предложенный подход позволит в дальнейшем расширить панель диагностических зондов, в том числе для выявления маркеров резистентности. В свою очередь, использование такого биосенсора в диагностике туберкулезной инфекции позволит обеспечить максимально быструю постановку диагноза, определение лекарственной устойчивости штаммов и, соответственно, назначение схемы лечения в максимально короткие сроки.
ДОПОЛНИТЕЛЬНАЯ ИНФОРМАЦИЯ
Вклад авторов. Басманов Д.В., Беспятых Ю.А. — концепция исследования, написание текста рукописи; Митько Т.В., Шакуров Р.И., Ширшиков Ф.В., Сизова С.В., Алиева Е.В., Конопский В.Н. — получение данных для анализа, анализ полученных данных, написание текста рукописи, обзор публикаций по теме статьи. Авторы подтверждают соответствие своего авторства международным критериям ICMJE (все авторы внесли существенный вклад в разработку концепции, проведение исследования и подготовку статьи, прочли и одобрили финальную версию перед публикацией).
Authors contribution. Basmanov D.V., Bes-pyatykh J.A. — study concept, manuscript writin; Mitko T.V., Shakurov R.I., Shirshikov F.V., Sizova S.V., Alieva E.V., Konopsky V.N. — data acquisition and analysis, literature review, manuscript writing. The authors made a substantial contribution to the conception of the work, acquisition, analysis, interpretation of data for the work, drafting and revising the work, final approval of the version to be published and agree to be accountable for all aspects of the work.
Источник финансирования. Работа выполнена при поддержке гранта РНФ № 20-75-10144.
Funding source. This work was supported by the Research Foundation Flanders (grant 20-75-10144).
Конфликт интересов. Авторы декларируют отсутствие явных и потенциальных конфликтов интересов, связанных с публикацией настоящей статьи.
Competing interests. The authors declare that they have no competing interests.
About the authors
Tatiana V. Mitko
Federal Research and Clinical Center of Physical-Chemical Medicine
Author for correspondence.
Email: mitko@phystech.edu
ORCID iD: 0000-0002-0107-1906
Graduate Student, laboratory assistant
Russian Federation, 1a, Malaya Pirogovskaya street, Moscow, 119435Ruslan I. Shakurov
Federal Research and Clinical Center of Physical-Chemical Medicine
Email: ruslan.shakurov@rcpcm.org
ORCID iD: 0000-0002-5986-0676
SPIN-code: 9576-8093
Junior Research Associate
Russian Federation, 1a, Malaya Pirogovskaya street, Moscow, 119435Fedor V. Shirshikov
Federal Research and Clinical Center of Physical-Chemical Medicine
Email: shirshikov@rcpcm.org
ORCID iD: 0000-0001-6452-1874
SPIN-code: 9872-2123
Junior Research Associate
Russian Federation, 1a, Malaya Pirogovskaya street, Moscow, 119435Sizova V. Svetlana
Federal Research and Clinical Center of Physical-Chemical Medicine
Email: sv.sizova@gmail.com
ORCID iD: 0000-0003-0846-4670
SPIN-code: 4322-1945
Cand. Sci. (chem.)
Russian Federation, 1a, Malaya Pirogovskaya street, Moscow, 119435Elena V. Alieva
Institute of Spectroscopy of the Russian Academy of Sciences
Email: alieva@isan.troitsk.ru
ORCID iD: 0000-0002-5251-7365
PhD
Russian Federation, TroitskValery N. Konopsky
Institute of Spectroscopy of the Russian Academy of Sciences
Email: konopsky@gmail.com
ORCID iD: 0000-0001-6114-5172
SPIN-code: 3937-8350
PhD
Russian Federation, TroitskDmitry V. Basmanov
Federal Research and Clinical Center of Physical-Chemical Medicine
Email: dmitry.basmanov@rcpcm.org
ORCID iD: 0000-0001-6620-7360
SPIN-code: 1801-6408
Research Associate
Russian Federation, 1a, Malaya Pirogovskaya street, Moscow, 119435Julia A. Bespyatykh
Federal Research and Clinical Center of Physical-Chemical Medicine
Email: JuliaBes@rcpcm.org
ORCID iD: 0000-0002-4408-503X
SPIN-code: 6003-9246
PhD
Russian Federation, 1a, Malaya Pirogovskaya street, Moscow, 119435References
- Global tuberculosis report 2019. Geneva: World Health Organization; 2019. Available from: https://www.who.int/tb/ publications/global_report/en/
- Нечаева О.Б. Состояние и перспективы противотуберкулезной службы России в период COVID-19 // Туберкулез и болезни легких. 2020. Т. 98, № 12. С. 7-19. [Nechaeva OB. State and prospects of the anti-tuberculosis service of Russia in the period of COVID-19. Tuberculosis and Lung Diseases. 2020;98(12):7-19. (In Russ).]
- Global tuberculosis report 2020. Geneva: World Health Organization; 2020. Available from: https://www.who.int/tb/publica-tions/global_report/en/
- Konopsky VN, Karakouz T, Alieva EV, et al. Photonic crystal biosensor based on optical surface waves. Sensors. 2013;13:2566-2578. doi: 10.3390/s130202566
- Konopsky VN, Mitko TV, Aldarov KG, et al. Photonic crystal surface mode imaging for multiplexed and high-throughput label-free biosensing. Biosensors and Bioelectronics. 2020;168:112575. doi: 10.1016/j.bios.2020.112575
- Bespyatykh JA, Zimenkov DV, Shitikov EA, et al. Spoligotyp-ing of Mycobacterium tuberculosis complex isolates using hydrogel oligonucleotide microarrays. Infect Genet Evol. 2014;26:41-46. doi: 10.1016/j.meegid.2014.04.024
- Zuker M. Mfold web server for nucleic acid folding and hybridization prediction. Nucleic Acids Res. 2003;31(13):3406-3415. doi: 10.1093/nar/gkg595
- Konopsky VN, Alieva EV. Photonic crystal surface waves for optical biosensors. Anal Chem. 2007;79:4729-4735. doi: 10.1021/ac070275y
- Morozova OV, Levchenko OA, Cherpakova ZA, et al. Surface modification with polyallylamines for adhesion of biopolymers and cells. Int J Adhesion Adhesives. 2019;92:125-132
- Castro-Garza J, Garsia-Jacobo P, Rivera-Morales LG, et al. Detection of anti-HspX antibodies and HspX protein in patient sera for the identification of recent latent infection by Mycobacterium tuberculosis. PLoS One. 2017;12(8):1-13. doi: 10.1371/journal.pone.0181714
- Bespyatykh JA, Shitikov EA, Bespyatykh DA, et al. Metabolic changes of Mycobacterium tuberculosis during the anti-tuberculosis therapy. Pathogens. 2020;9(2):131. doi: 10.3390/pathogens9020131
- Басманов Д.В., Митько Т.В., Шакуров Р.И., Беспя-тых Ю.А. Создание новых микрофлюидных биосенсоров для мультиплексной детекции процесса связывания лигандов в реальном времени // Актуальные проблемы биомедицины-2021: Материалы XXVII Всероссийской конференции молодых ученых с международным участием. Санкт-Петербург, 2021. С. 296297. [Basmanov DV, Mitko TV, Shakurov RI, Bespyatykh YuA. Creation of new microfluidic biosensors for multiplex detection of the ligand binding process in real time. In: Actual problems of biomedicine-2021: Materials of the XXVII All-Russian Conference of Young Scientists with International participation. Saint Petersburg; 2021. Р. 296-297. (In Russ).]
Supplementary files





